| A | B | C | D | E | F | G | H | IJK | L | M | N | O | P | Q | R | S | T | UV | WX | YZ |
|---|---|---|---|---|---|---|---|---|---|---|---|---|---|---|---|---|---|---|---|---|
| Algebra Connections Glossary | ||||||||||||||||||||
quadrants |
|
|---|---|
| The coordinate plane is divided by its axes into four quadrants. The quadrants are numbered as shown in the first diagram below. When graphing data that has no negative values, we sometimes use a graph showing only the first quadrant.
|
|
quadratic equation |
|
| An equation that can be written in the form ax² + bx + c = 0, where a, b, and c are real numbers and a is nonzero. A quadratic equation written in this form is said to be in standard form. For example, 3x² − 4x + 7.5 = 0 is a quadratic equation. | |
quadratic expression |
|
| An expression that can be written in the form ax² + bx + c, where a, b, and c are real numbers and a is nonzero. For example, 3x² + 4x + 7.5 is a quadratic expression. |
|
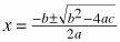
Quadratic Formula |
|
| The Quadratic Formula states that if ax² + bx + c = 0 and a ≠ 0, then |
|
quadrilateral |
|
| A polygon with four sides. For example, the shape at right is a quadrilateral.
|
|