A B C D E F G H IJK L M N O P Q R S T UV WX YZ
Algebra Connections Glossary
m   
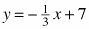
  When the equation of a line is expressed in y = mx + b form, the constant m gives the slope of the line.  For example, the slope of the line pic is pic.
mathematical sentence   
  A mathematical sentence is an equation that uses variables to represent unknown quantities.  For example, the mathematical sentence b + g = 23 might represent the fact that the total number of boys and girls in the class is 23.  It is helpful to define variables using “let” statements before using them in a mathematical sentence. (Also see “ ‘let’ statement.”)
mean   
  The mean, or average, of several numbers is one way of defining the “middle” of the numbers.  To find the average of a group of numbers, add the numbers together then divide by the number of numbers in the set.  For example, the average of the numbers 1, 5, and 6 is (1 + 5 + 6) ÷ 3 = 4.
monomial   
  An expression with only one term.  It can be a number, a variable, or the product of a number and one or more variables.  For example, 7, 3x, − 4ab, and 3x²are each monomials.
multiple representations
  See: "representation;" and "representations web."
Multiplicative Identity Property   
  The Multiplicative Identity Property states that multiplying any expression by 1 leaves the expression unchanged.  That is,
a(1) = a.  For example, 437x · 1 = 437x.
Multiplicative Inverse Property   
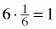
  The Multiplicative Inverse Property states that for every nonzero number a there is a number pic such that pic.  For example, the number 6 has a multiplicative inverse of pic; pic.  The multiplicative inverse of a number is usually called its reciprocal.  For example, pic is the reciprocal of 6.  For a number in the form pic, where a and b are non-zero, the reciprocal is pic.
Multiplicative Property of Equality   
  The Multiplicative Property of Equality states that equality is maintained if both sides of an equation are multiplied by the same amount.  That is, if a = b, then a · c = b · c.  For example, if y = 3x, then 2(y) = 2(3x).