A B C D E F G H IJK L M N O P Q R S T UV WX YZ
Algebra Connections Glossary
Elimination Method   
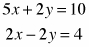
  A method for solving a system of equations.  The key step in using the Elimination Method is to add or subtract both sides  of two equations to eliminate one of the variables.  For example, the two equations in the system at right can be added together to get the simplified result 7x = 14.  We can solve this equation to find x, then substitute the x-value back into either of the original equations to find the value of y.

pic

equal   
  Two quantities are equal when they have the same value.  For example, when x = 4, the expression x + 8 is equal to the expression 3x because their values are the same.
Equal Values Method   
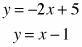
  A method for solving a system of equations.  To use the Equal Values Method, take two expressions that are each equal to the same variable and set those expressions equal to each other.  For example, in the system of equations at right, −2x + 5 and x − 1 each equal y.  So we write −2x + 5 = x − 1, then solve that equation to find x.  Once we have x, we substitute that value back into either of the original equations to find the value of y.

pic

equation   
  A mathematical sentence in which two expressions appear on either side of an “equals” sign (=), stating that the two expressions are equivalent.  For example, the equation 7x + 4.2 = −8 states that the expression 7x + 4.2 has the value –8.  In this course, an equation is often used to represent a rule relating two quantities.  For example, a rule for finding the area y of a tile pattern with figure number x might be written y = 4x − 3.
equation mat   
 

An organizing tool used to visually represent two equal expressions using algebra tiles.  For example, the equation mat below represents the equation 2x − 1 − (−x + 3) = 6 − 2x

pic

equivalent   
  Two expressions are equivalent if they have the same value.  For example, 2 + 3 is equivalent to 1 + 4. (p. 19)   Two equations are equivalent if they have all the same solutions.  For example, y = 3x is equivalent to 2y = 6.  Equivalent equations have the same graph.
evaluate   
  To evaluate an expression, substitute the value(s) given for the variable(s) and perform the operations according to the order of operations.  For example, evaluating 2x + y − 10 when x = 4 and y = 3 gives the value 1.
exponent    
  In an expression of the form pic, b is called the exponent.  For example, in the expression pic, 5 is called the exponent.  (2 is the base, and 32 is the value.)  The exponent indicates how many times to use the base as a multiplier.  For example, in pic, 2 is used 5 times: pic.  For exponents of zero, the rule is: for any number x ≠ 0, pic.  For negative exponents, the rule is: for any number x ≠ 0, pic, and pic. (Also see “laws of exponents.”)
expression   
  An expression contains one or more numbers and/or variables.  Each part of the expression separated by addition or subtraction signs is called a “term.”  For example, each of these is an expression: 6xy², 24, 2.5q − 7, pic.
expression comparison mat   
  An expression comparison mat puts two expression mats side-by-side so they can be compared to see which represents the greater value.  For example, in the expression comparison mat below, the left-hand mat represents −3, while the right-hand mat represents 2.  Since −2 > −3 the expression on the right is greater.

pic

expression mat   
  An organizing tool used to visually represent an expression with algebra tiles. An expression mat has two regions, a positive region at the top and a negative region at the bottom.  The tiles on the expression mat below represent a value of −3.

pic