A B C D E F G H IJK L M N O P Q R S T UV WX YZ
Algebra Connections Glossary
b   
  When the equation of a line is expressed in pic form, the constant b gives the y-intercept of the line.  For example, the y-intercept of the line pic is 7.
base
  (1) When working with an exponential expression in the form pic, a is called the base.  For example, 2 is the base in pic.  (5 is the exponent, and 32 is the value.) (Also see “exponent.”)  (2) When working with geometric figures, the term “base” may be applied to a side of a triangle, rectangle, parallelogram, or trapezoid.  “Base” may also be applied to the face of a prism, cylinder, pyramid, or cone.
binomial   
  An expression that is the sum or difference of exactly two terms, each of which is a monomial.  For example, −2x + 3y² is a binomial.
boundary line or curve    
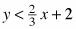
  A line or curve on a two-dimensional graph that divides the graph into two regions.  A boundary line or curve is used when graphing inequalities with two variables.  For example, the inequality pic is graphed below.  The dashed boundary line has equation pic.  A boundary line is also sometimes called a “dividing line.” See graph below.

pic

boundary point   
  The endpoint of a ray or segment on a number line where an inequality is true.  For strict inequalities (that is, inequalities involving < or >), the point is not part of the solution.  We find boundary points by solving the equality associated with our inequality.  For example, the solution to the equation 2x + 5 = 11 is x = 3, so the inequality 2x + 5 > 11 has a boundary point at 3.  The solution to that inequality is illustrated on the number line below.  A boundary point is also sometimes called a “dividing point.”

pic